数论定理
欧几里得算法
已知两个数 $a,b$,记它们的最大公约数为 $\gcd(a,b)$ ,则有:

递归求解,当 $b=0$ 时 $\gcd(a,0)=a$。
时间复杂度 $O(\log a)$
1 | int gcd(int a,int b){ |
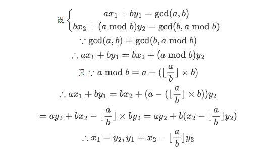
扩展欧几里得算法
用于求形如 $ax+by=\gcd(a,b)$
过程:

递归求解,当 $b=0$ 时,显然有一组解 $x=1,y=0$。
时间复杂度 $O(\log a)$
1 | int exgcd(int a,int b,int &x,int &y){ |
欧拉函数
$\varphi(n)$ 表示小于等于 $n$ 的与 $n$ 互质的数的个数。
当 $n$ 为质数时,显然有 $\varphi(n)=n-1$。
性质:
- 欧拉函数是积性函数
- $n=\sum_{d|n} \varphi(d)$
- $\varphi(p^k)=p^k-p^{k-1}$,$p$ 是质数
- $n=\prod_{i=1}^{s} p_i^{k_i}$,则$\varphi(n)=n\times \prod_{i=1}^s \frac{p_i-1}{p_i}$
- $\varphi(mn)\varphi(\gcd(m,n))=\varphi(m)\varphi(n)\gcd(m,n)$
求单个欧拉函数值:使用第 4 条性质
求多个欧拉函数值:使用线性筛法(积性函数)
欧拉定理
若 $\gcd(a,m)=1$,则 $a^{\varphi(m)} \equiv 1 (\bmod m)$
扩展欧拉定理

费马小定理
若 $p$ 是素数,$\gcd(a,p)=1$,则 $a^{p-1} \equiv 1 ( \bmod p)$
对于任意整数 $a$, 有 $a^p \equiv a (\bmod p)$
中国剩余定理
求解如下形式的一元线性同余方程组(其中 $n_1,n_2,\cdots ,n_k$ 两两互质):

过程:
计算 $n=\prod_{i=1}^k n_i$
对于第 $i$ 个方程:
计算 $m_i=\frac n {n_i}$
计算 $m_i$ 在模 $n_i$ 意义下的逆元 $m_i^{-1}$
计算 $c_i= m_i m_{i-1}$
方程组在模 $n$ 意义下的唯一解为:$x=\sum_{i-1}^ka_ic_i\ \ (\bmod n)$
扩展:模数不互质的情况
两个方程
设方程为 $x \equiv a_1 (\bmod m_1)$ 、 $x \equiv a_2 (\bmod m_2)$
转化为 $x=m_1p+a_1=m_2q+a_2$,则有 $m_1p-m_2q=a_2-a_1$
用扩展欧几里得算法求出一组解 $(p,q)$
则两方程合并的解为 $x \equiv b (\bmod M)$,其中 $b=m_1p+a_1$,$M=\text{lcm}(m_1,m_2)$
多个方程
按两个方程的方法两两合并即可。
威尔逊定理
对于素数 $p$ 有 $(p-1)! \equiv -1 (\bmod p)$
卢卡斯定理
对于素数 $p$,有

1 | long long Lucas(long long n,long long m,long long p) { |